| 일 | 월 | 화 | 수 | 목 | 금 | 토 |
|---|---|---|---|---|---|---|
| 1 | 2 | 3 | ||||
| 4 | 5 | 6 | 7 | 8 | 9 | 10 |
| 11 | 12 | 13 | 14 | 15 | 16 | 17 |
| 18 | 19 | 20 | 21 | 22 | 23 | 24 |
| 25 | 26 | 27 | 28 | 29 | 30 | 31 |
- Java
- DS
- DATAPATH
- Linux
- data structure
- function
- Pipelining
- computer
- php
- for
- mysql
- html
- DB
- Rag
- Algorithm
- CSS
- Class
- react
- AI
- python
- MIPS
- XML
- openai
- instruction
- architecture
- system
- web
- control
- javascript
- github
- Today
- Total
YYYEJI
[Algorithm] Greedy로 Huffman code 풀기 본문

Greedy 란?
각 단계에서 가장 최적의 선택을 하는 것으로,
그 순간에는 최선의 선택이지만 전체적으로는 최적해를 보장하지는 않는 알고리즘입니다.
Huffman code란?
데이터를 인코딩(encoding)/디코딩(decoding)하기 위해 필요한 알고리즘입니다.
인코딩하는 과정
① 입력 문자열에서 문자의 빈도수를 구한다.
② 빈도수를 기준으로 이진 트리를 생성한다.
③ 왼쪽 자식 노드는 0, 오른쪽 자식 노드는 1를 부여해서 huffman 코드를 생성한다.
④ 입력 문자열에서 찾은 huffman 코드를 순차적으로 연결하여 하나의 비트 스트림으로 생성한다.
디코딩하는 과정
① 저장된 비트 스트림을 읽어 각 문자의 huffman code를 생성해서 원래 문자로 변형한다.
디코딩하는 과정에서 중요하게 살펴볼 조건이 있습니다.
prefix code입니다.
a = 01, m = 10, n = 111, o = 0, r = 11, s = 1, t = 0011 이라고 했을 때,
만약 저장된 문자열 100110111을 해석할 때 해석할 수 있는 결과가 많아집니다.
즉 어떤 문자의 코드가 다른 문자의 코드의 접두사(prefix)가 되지 않는 코드를 의미합니다.
문제를 풀면서 자세히 이해해보록 하겠습니다.
Huffman code 문제풀기
| a | b | c | d | e | f | |
| Frequence | 45 | 13 | 12 | 16 | 9 | 5 |
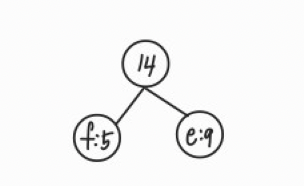
frequency가 작은 두 개의 값을 꺼냅니다.

두 노드의 frequency를 합치고 다시 값을 넣습니다.
| a | b | c | d | ef | ||
| Frequence | 45 | 13 | 12 | 16 | 14 |
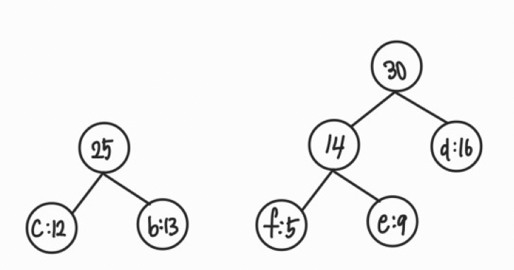
이 과정을 반복합니다.

| a | d | fe | cf | |||
| Frequence | 45 | 16 | 14 | 25 |

| a | cf | def | ||||
| Frequence | 45 | 25 | 30 |

| a | bcdef | |||||
| Frequence | 45 | 55 |

| Frequence |
모든 노드가 다 빠져나왔다면 왼쪽 노드에는 0, 오른쪽 노드에는 1 비트를 부여합니다.

a: 0
b: 101
c: 100
d: 111
e: 1101
f: 1100
구한 결과로 보면 비트열이 서로 겹치지 않음을 확인할 수 있고 이 조건을 prefix code라고 부릅니다.
◡̈
'Algorithm' 카테고리의 다른 글
| [Algorithm] 배낭문제 DP로 풀기 (0) | 2023.04.19 |
|---|---|
| [Algorithm] 배낭문제, 냅색(Knapsack)이란? (0) | 2023.04.18 |
| [Algorithm] DP로 MCM(Matrix-Chain Multiplication) 풀기 (0) | 2023.04.16 |
| [Algorithm] 마스터 정리 (Master Theorem) (0) | 2023.04.16 |
| [Algorithm] 재귀 트리(Recursion Tree Theorem) (0) | 2023.04.16 |