Notice
Recent Posts
Recent Comments
Link
250x250
| 일 | 월 | 화 | 수 | 목 | 금 | 토 |
|---|---|---|---|---|---|---|
| 1 | 2 | 3 | ||||
| 4 | 5 | 6 | 7 | 8 | 9 | 10 |
| 11 | 12 | 13 | 14 | 15 | 16 | 17 |
| 18 | 19 | 20 | 21 | 22 | 23 | 24 |
| 25 | 26 | 27 | 28 | 29 | 30 | 31 |
Tags
- Rag
- AI
- DB
- function
- web
- instruction
- control
- computer
- mysql
- Algorithm
- javascript
- html
- github
- php
- DS
- XML
- system
- openai
- Java
- CSS
- react
- MIPS
- for
- DATAPATH
- Pipelining
- architecture
- Class
- data structure
- Linux
- python
Archives
- Today
- Total
YYYEJI
[Algorithm] 재귀 트리(Recursion Tree Theorem) 본문
728x90

재귀 트리(Recursion Tree Theorem)란?
각 노드가 재귀호출되는 하위 문제에 대한 비용을 나타내는 방법입니다.
치환법으로 추측이 불가능할 때 사용합니다.
Step 1: 식 구하기
T(n) = 3T(n/4) + Θ(n2)
계수는 중요하지 않으므로 Θ를 풀 때 c(c>0)로 대체해줍니다.
T(n) = 3T(n/4) + cn²
Step2: 재귀트리 구하기
cn²을 기준으로 3개의 branch를 생성해줍니다.

위와 같은 방식으로 계속 branch를 생성해 줍니다.

T(1)이 나올 때까지 트리를 이어가 줍니다.

Step3: 트리의 길이(height) 구하기

그림을 따라서 각각의 트리 레벨의 길이를 구하다보면 트리의 총 길이는 1 = n/4ʰ임을 알 수 있습니다.
1 = n/4ʰ 은 n = 4ʰ로 바뀌고, log 공식을 통해 h = Log₄n가 됩니다.
Step4: 각 레벨의 항의 개수 구하기

각 레벨의 항의 개수를 보면 3의 배수만큼 증가하는 것을 확인할 수 있습니다.
마지막을 레벨을 보면 항의 개수는 3ʰ이고 위에서 구했던 트리의 길이를 사용하여 계산을 더 이어가 줍니다.
3ʰ = 3ˡºᵍ⁴ⁿ이고, 밑과 로그 공식을 하면 nˡºᵍ⁴³ 을 구할 수 있습니다.
(3ˡºᵍ⁴ⁿ 4는 밑 n은 지수, nˡºᵍ⁴³ 4는 밑, 3은 지수입니다.)
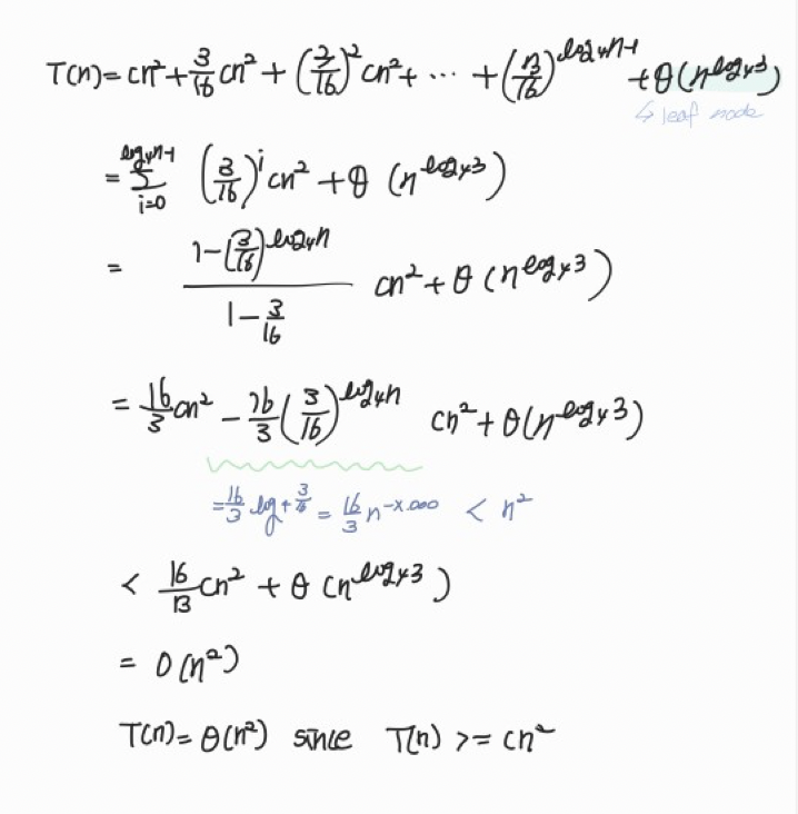
Step5: total 합 구하기

각각의 길이와 항의 개수를 곱해서 식을 구해주고,
시그마 공식을 이용해서 결과를 구해주면 됩니다.

마지막 결과를 통해 time complexity는 θ(n²)라는 것을 알 수 있습니다.
◡̈
728x90
'Algorithm' 카테고리의 다른 글
| [Algorithm] Greedy로 Huffman code 풀기 (0) | 2023.04.18 |
|---|---|
| [Algorithm] DP로 MCM(Matrix-Chain Multiplication) 풀기 (0) | 2023.04.16 |
| [Algorithm] 마스터 정리 (Master Theorem) (0) | 2023.04.16 |
| [Algorithm] 점근적 표기법(Asymptotic notation) 이해하기 (0) | 2023.04.16 |
| [Algorithm] 시간복잡도(Time complexity)란? (0) | 2023.04.16 |